A problem called gravity
Gravity is very poorly explained in the branch of science called physics.
They assume that throwing an apple from the Tower of Pisa proves, that the mass of the Earth pulls the apple from upside to down. Is that so?
There is Something rotten in the State of Physics.
Now is physics class, and unlike primary school, it gets really fun! Sorry if you had great fun there, there are good teachers out there, but you know what I mean.
It is about gravity, a force of nature that science has never been able to explain to satisfaction. We do not promise to explain it in detail, but we will try to map out why science has never explained their 400-year-old claim, and where about it went wrong.
For the occasion, of course, a stack of clever heads are gathered and put in play, people who have done some homework. A few other so-called clever heads may become a head shorter along the way. We will try to do the trick of lifting gravity.
House wife physics
The first wise head is for a pleasant diversion a woman. Paris Spaulter is a lady who has been a housewife all her life, while along the way she has wiped out both Newton and Einstein! She is of course no ordinary housewife, because she has a PhD in biochemistry and a number of years as a researcher behind her. But with her husband’s support, it meant she could spend all her time reading the writings of the scientist who made the biggest difference and who, for odd political-strategic, ideological, and science-historical – and possibly religious – reasons, was never read closely. We’re talking about Johannes Kepler.
Kepler formulated 3 physical laws, but the third law was never read by Newton, who was born 12 years after Kepler’s death. This fatal lapsus was never corrected since, for everyone subsequently accepted Newton’s statement about gravity: That all observable phenomena of attraction in the known universe were based on the mass of bodies.
Kepler had paved another way, for, contrary to Newton. He based his laws on observations and data. Newton did not use the exquisite data available – that is, Kepler’s data based on Tycho Brahe’s observations over 30 years. Newton guessed out in the blue, but he still broke through – not because of his knowledge, but because he was part of The Establishment in England at the time. He was the Big-Shot of the time and elite. Kepler was aware that all the planets that in his time and ages could be observed rotating about their axis in the same way and in the same direction of rotation as the Sun’s rotation about its axis. With the knowledge that emerged in the following century up to the Danish scholar Ørsted, one would in hindsight probably have said that it was an electrical or magnetic phenomenon, because that is exactly how magnets behave. NB: magnetism is a form of electricity.
The error of gravity continues unabated throughout history, so that Einstein’s ideas about space-time and the curvature of light, his relativity, and his thermodynamics are allowed centuries later to develop into pure speculation. Newtons science is no longer based on observations of natural phenomena (apart from the anecdote with the apple), but is pure mathematical speculation. That Einstein, surprisingly, was a lousy mathematician does not make things better. He delves into absurdities that time should be the fourth dimension, after which his successors go completely grassroots in x-number dimensions, parallel universes, and further out of a string of absurd speculative string theories. None of these speculators today are able to explain gravity, for no one has thought of returning to the premise that Johannes Kepler had set out in his third law.
Newton should, in fact, have been on the track simply by considering the shape of the apple. The cosmic apple is the shape of an electric field around a body. But in his time there was no talk of electricity.
In Kepler’s and Tycho Brahe’s time, only a certain part of the solar system was observed. The outer planets Pluto, Neptune and Uranus were out of observable range. The major intermediate planets were known: Saturn, Jupiter and Mars, and also the inner planets: Earth, Venus and Mercury (order from the outside and towards the Sun). Today we have access to study all nine planets + a lot of other things inside and outside the solar system: asteroids, comets, belts – the galaxy, other galaxies, different types of stars, star clouds, and more. The precision and scope of observed data is very high.
Just to to clear the path: Flatearthers, please give us a call when you yourself are actually there at the end of the pancake looking down the abyss. We would really like to know, what it’s like. Let’s move on.
When the scientific housewife Paris Spaulter started her life’s work, it was intended to explore and support Kepler’s solid data with updated and more complete data. Everything she encountered turned out to support Kepler’s 3rd law. She has therefore in her book Gravitational Force of the Sun totally reformulated Newton’s definition of gravity to be a product of acceleration and area.
Saint Einstein
After Einstein formulated his general theory of relativity, his scientific successors then tried to adapt Nature / Cosmos to this theory. It is probably called: to adapt the landscape to the map. This has happened until recently, when, for example, American taxpayers have paid billions and billions of dollars on projects such as the Lazer Interferometer Leigo and the Tokamac reactor without these being able to detect gravity or produce a single kilowatt of energy. Both projects have been a total failure. Had one read Kepler then and understood that gravity does not exist, but that everything in the Universe is electricity, today we would have had clean energy, minimal pollution, no deadly pharmaceutical industry and only a fraction of the wars in which various state powers and supranational bodies murder the earth’s populations due to explosively inefficient fuel. Poverty would not have had legs to walk on, and we had not lived in a world permeated by lie-on-lie-on-lie. We had probably also been spared both nuclear power and Al Gore’s climate fraud. Scams stand on the shoulders of scams.
The three biggest villains and scammers in the history of science are Newton, Darwin and Einstein. Before Einstein, it was still common and respectable to use observational and experimental data. With Einstein – and it is highly doubtful whether Einstein was actually able to perform that kind himself – advanced mathematics was introduced. The mathematicians occupied and monopolized physics, physics was encrypted, monopolized and patented.
Alan Watt describes the phenomenon of Einstein as follows: in his childhood and adolescence he had difficulty understanding … everything. He was no genius or prodigy. He, on the other hand, was so lucky to get a job in the patent industry. Here one must understand that patents are not there to protect inventors and their inventions but are there to steal the inventions that are particularly important to Big-Industry and-or to make sure that they are never realized. Only patents that are harmless in the larger context are allowed to go through. The industry was already then a body of the global elite.
This is a whole subject in itself, but Einstein made his contribution to the industry by helping to steal patents, which was obviously his real talent. As a reward, the invention thieves’ global mafia – we just need to think of one of the church inventors and geniuses, Nicola Tesla, whose inventions were stolen or destroyed by J.P. Morgan – that is, the patent thieves made Einstein a scientific saint. That’s the thing they are good at. So the central bank elite, the Zionists or Jesuits, same-same, marketed with the greatest efficiency the mediocrity and the swindler Einstein as the ultimate scientific genius. The damage – or perhaps one should rather say spot added to damage – that the Einstein cult inflicted on science is immeasurable. His inflicted injury was based on pre-inflicted injury.
In his book, The Incorrigible Racist Albert Einstein, author Christopher Jon Bjerknes takes it even further and declares Einstein a plagiarist, a swindler, a pseudo-scientist. It was his wife, Mileva Einstein Maric, who wrote most of it. They had an agreement to keep it a secret, and when he received the Nobel Prize for plagiarism – her plagiarism – he sent according to. the agreement the full amount of the award to her. He was so heavily grilled in Germany for his plagiarism and because he could not even account for the work of the physicists, Pointcaret, that he plagiarized, he had to flee to the United States.
As a main purpose of his flight, he himself writes in his letters that it was to promote Zionism. In the United States, too, he was grilled, but the myth machine that the Zionists had built around him was able to draw any attention to his funny hair and eccentric habits and completely away from his meandering machinations. Every time there was scientific criticism, the Zionists shouted about anti-Semitism and thus made serious professional discussion and criticism impossible and politically incorrect. Certain aspects of his person, on the other hand, were completely omitted, e.g. his pedophile tendencies. When he could not fuck his cousin’s minor daughter, his married the cousin instead so he could take care of the whole family. In a letter, he calls them my little harem.
In Kepler’s 3rd law, there is no mass involved. On the other hand, it can be interpreted and read as a product of acceleration and area. The larger the surface area, the greater the acceleration, the greater the attraction. So gravity is a misleading word, for it is not gravity that creates attraction.
The interpretation of Kepler thus says:
meaning: compression = accell2 / area3
We are talking here about rotating bodies with a very large surface area. The rotation is created from a central motor, the Sun, which in turn is a local transformer station for a galactic rotating central motor (there again is …). Gravity = compression does not take place via the mass of the body but by rotating like an electric generator connected to a universal generator system. Forgive me if this sounds like another cosmic machine model.
To compensate for the inability to explain the alleged gravity, science in turn is rich in imaginative explanations. In particle physics, they to no surprise talk of gravitons, since everything is materialized and made into particles. There is talk of inward curvature, 4-dimensional geometry. Gravity violates science’s own laws and the conservation of energy as a constant. In order to believe in the phenomenon, one must adopt a kind of religious belief. It is also claimed that gravity was created in The Big Bang. This is absurd, because without gravity, all matter would be evenly distributed in the universe and not compressed into one bone-hard singularity.
Magnetism is also a form of electricity.
Sir Isaac had just been to the hairdresser
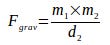
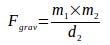
Here goes Newton’s weight = mass x mass / distance:
It is not mathematics that is the problem.
It’s mythematics and has led to an army of mythematical misconceptions, lately:
dark matter
dark energy
black holes
singularities
event horizons
WIMPS (weakly interacting solid particles)
MOND (modified Newtonian dynamics)
MACHO (solid compact holo object)
neutron stars
gravity collapse
gravitons
gravitational waves
quantum weight
inward-pulling weight
gravity lens
weight constant
Black shield radius
gravity radiation
frame dragging
general relativity
quantum field theory
anti-gravity
anti-dust
The God Particle
gluons
… and many more. The latest freak from the particle industry is the god-help-us-god particle that the mad scientists claim to have found in the Hadron Collider at CERN. The idiots seriously believe that they can find the Creator, as long as they find a particle that is small enough to be inside all other particles. It is reductionist materialism, and the main problem of science is precisely this. They have, in turn, been allocated endless resources – a military size budget! to buy toys for. They have good friends in high places with money in their pockets.
Or something completely different is going on in CERN than we’re told, because the whole tale of the Hicks-Boson particle race seems almost childish, it smells of smoke-screen. If you look at the two huge rings of electro-magnetic fields laid on top of each other in the CERN collider, you think of a huge Tesla generator. Historian and author Joseph P. Farrell is not afraid to throw out out certain high-octane speculations in this regard by guessing that they are in the process of establishing a torsion field that taps into the Sun’s energy field. In this connection, violent fluctuations have been measured in the Earth’s magnetic field when they run the machine. A very dark and potentially very dangerous project, which in that case is connected with The Secret Space Program and The Black Budget and The Shadow Banking System. People who are not afraid of including occult topics their research as dr. Farrell, could also come up with the idea that they’re trying to open a dimensional portal or are developing a giant weapon system that could shake the entire globe. We can only guess what might fall out of that sort of thing – something from a fantasy universe or a Hollywood production with lots of 3D graphics. And nothing cute like in Hell Boy.
Of course, CERN also does other things, some of which may even be useful, and the individual scientist is not aware if anything other than what he thinks he has been hired for is going on. Geeks can be like little children, preoccupied with their own play until the day it goes wrong or they discover, that they were not working for the sacred research but for a branch of the military industry. The CERN project with the collider is so insanely large that it assumes military dimensions, like its budget.
Genius and fake-genius
A true genius, on the other hand, Nicola Tesla, did not have high thoughts about Einstein and his entourage. He wrote:
Today’s scientists have replaced experiments with mathematics, they wade through equation after equation and end up building structures that have no connection to reality.
Their theory is a beggar dressed in purple, whom ignorant people assume to be a king. The exponents of the theories are brilliant, but they are metaphysicians rather than scientists.
And Tesla was a man who knew what he was talking about. A highly educated physicist unlike Einstein, who was merely a patent officer. Tesla was closely connected to reality, and the range of inventions and discoveries that are directly due to him is or his initiative, to say the least, is astonishing:
radio
alternating current
laser
radar
X-ray
wireless communication
radiation weapons – star-wars technology
wireless electricity
cell technology
the electron microscope
microwave technology
hydro-electric generators
neon light
fluorescent light
remote control
electronic robot control
This list is only a fraction of his huge merit list. He foresaw, among other things mobile telephony in 1909
His main criticism of the physics of the past – and unfortunately still today – is the total neglect of ether. It corresponds to the biblical concept of the Firmament. As you know, ether is an ancient concept, and we can (re) use it for a maximum of time for lack of better.
Tesla went on to say:
A good example of such an interaction becomes clear in relation to gravity, which should rather be called Universal Compression. I believe that material bodies do not exert weight against each other, but it is the ether that causes these bodies to compress in relation to each other.
We mistakenly call this phenomenon gravity.
The stars, planets and the whole Universe emerge from the ether as parts of it for various reasons became less dense.
One must give that much credit to Einstein that he actually doubted his own theories and expressed it on several occasions. It is usually forgotten, and at that point he was perhaps wiser than the Einstein’ians. As a substitute for ether – or perhaps rather: as a re-branding of it, science has invented a surrogate they call dark matter.
Incidentally, Einstein did not come up with the theory of relativity at all due to David Hilbert. And the preconditions for the theory were already developed by his wife Mileva, an entire chapter in the history of science in itself – based on plagiarism and stolen goods from scientists who were not later quoted for it or given credit for it. Another misconception was that Einstein was part of the Manhattan project. He was hung up early by Oppenheimer, who considered him a total nitwit.
Einstein 2.0 – you would not criticize a cripple, would you?
The same one-sided adoration of the alleged genius scientist we see with the gnome Stephen Hawking, who has been marketed as an Einstein 2.0. Here, too, we are rarely told that there are many equally gifted people in his branch who completely disagree with him. And the fact that with his illness he should have died long ago or lost his intelligence more than suggests that he is an art product of the invisible geniuses who throughout world history have practiced fabricating these idols.
An example from art history: the figure Wolfgang Amadeus Mozart, a genius god from the world of music, was probably one of these creatures. Behind the person hides up to 60 different Italian composers, a few of whom in turn lost their own deserved claim to fame in this media stunt. Here, the master stage director was, among others, Wolfgang’s own father, who was an agent for the early version of the music industry, a branch of the publishing industry that has Venetian roots (here certain red lights shine). We know today how the pop music industry almost mass-produces diurnal fly versions of these artificial idols. When they have served their purpose, there will be arranged a sacrificial ritual where they preferably will die from a drug overdose or a suicide. Plain- and car crashes are also popular.
The term ether is the word of the day to fill the gap that science provides. In Walter Russell, the concept is replaced by a differentiation into 17 gases, gases that inhabit the ’empty space’ and all can transport light. The concept is unfortunately burdened by the fact that the NewAges need a simple concept. Nicola Tesla and Victor Schauberger really just use the term because they have not yet arrived at the differentiation that Russell presents. Robert Otey uses the term ether-junkies 😉 about those who within NewAge have a tendency to pick up concepts from ancient spiritual traditions – and then by the way get them in the wrong throat. And as we know, NewAge is not science but religion.
The Creator can never be found in a particle, as in the example of the God particle. According to Russell, the Creator must be in the Silent Magnetic Light that controls the Universe.
The genius in a random junk moment?
Or the sabbatarian’s greeting to his goddess, Kali?
The black mother with the black hole.
And then there are the black holes / Black Holio myth. The goddess Kali and the Kabbalists’ illusionism – we should perhaps say illuminism – have apparently crept inside cosmology and physics. Evil tongues claim that Einstein was merely a Kabbalist disguised as a scientist. The books in his library strongly indicate that. In any case, his scientific siding is responsible for the fact that science today has turned off at an unproductive side road. Something could indicate that there is a special interest behind it. In the case of Tesla, this interest, the hidden agenda, was at least so evident that for a while it appeared on the scene in the form of J.P. Morgan as the representative of the financiers and the dark men of the intelligence service as the representative of the Deep State Gestapo, the 20th century Spanish Inquisition. Tesla was character assassinated by the dark men. Einstein, on the other hand, expressed fairly clear Zionist sympathies, and if you said Zionist, you also said Jesuit. Then, unfortunately, we end up again with the infamous, satanic Kabbalists who always operate in the engine room, where the great manipulation of humanity’s consciousness and destiny takes place. The fate engineers may be an appropriate name for them.
These dark men of fate have much to thank Newton-Einstein for, for through the great century-long misguidance we still do not have the science we should have had, where clean energy and energy medicine had long ago replaced the in every way dirty oil industry and the evenly dirty pharmaceutical industry.
The Universe seen from the University
The idea that there are places in the Universe where gravity is so great that it sucks all matter in – called Black Holes – originated from the Big Bang theory, where the whole Universe was such a black hole – which then suddenly got enough of itself himself and spit out the Universe in a kind of giant orgasm explosion, Das Urknall. A mindset for little boys who play with explosives and masturbate too much. Science forgets to remind us that it is just a theory and talks about it as if it were an already accepted and proven fact. The idea of neutron stars that should be such black holes is gravitational mythology. Gravity and magnetism can be explained quite simply and meaningfully as electricity, so there is no need to talk about gravity at all.
Incidentally, the BigBang theory was created by a Catholic (Jesuit) priest named Lemaitre for mind control. Therefore, the Pope also stood in the foyer and welcomed the guests at the conference of the European Astronomical Society in the 1950’es, where the theory of The Big Bang was presented for the first time. He said: Gentlemen! I congratulate you. For you have just confirmed our Fiat Lux (… and God created the World and said: Let there be light). Note the term ‘our’. There were reportedly a number of scientists who got an uncomfortable feeling at the religion’s unexpected and inappropriate embrace of science. An ideological-scientific coup (remember that the Vatican is a state).
Fun stuff in the Vatican. The priest invented the original orgasm,
the nutty professor curved the room like an Italian salami.
Walter Russell admittedly used the term black holes, but he meant something completely different than academy physics and almost made fun of them. Russell, used the term to contradict the Einsteinian idea of the heat death (thermodynamics) of the Universe in the form of dying stars to point out that there are just as many places in the Universe where suns are born. Or upscale: where galaxies are born (the mysterious phenomenon of the quasars). One has to talk about Black Holes + White Holes or something similar that explains the great cosmic Yin-Yang. Terminology is fragile, language is imperfect.
Big Bang is evolution theory in cosmic terminology. This is where the staged fake genius between Newton and Einstein, Charles Darwin, comes in. Gravity does not exist. Evolution does not exist. Big Bang does not exist. Humanity does not evolve, it involves, it devolves. Everything human has been subjected to one great de-generation. There was a pre-civilization before the present one, probably 13,000 years ago + that was wiped out. They had an extreme high technology and we can still see remnants of it today. The dating is uncertain, and we have to talk in relative time and not absolutely – so something came before something else that came before something third. So 130,000 years can easily be a reality behind 13,000 years. The extinction took place – probably – on several occasions, and the causes can be found in an interplay of natural disasters – with great certainty – or as a result of advanced warfare – possibly.
Read also: You don’t piss of the gods with impunity
Maybe we should talk about circulation instead of evolution. And then we may view human civilization and consciousness as cosmic cycles (The Great Year).
Should anyone be in doubt that the previous civilization was the present far superior, then someone should simply study the phenomenon of moving large boulders. The previous civilization could lift boulders of up to a 1000 tons (Baalbek), which the present one cannot today. I Gornia Shoria in the Ural mountains a was of stone with weight up to 3.500 tons has been discovered. This would have been quite unthinkable without high technology – a subject where the sciences of history and archeology are also completely astray. They are almost double on the shit, as they desperately and in fierce stubbornness cling to their unsubstantiated claim that it was Stone Age or Bronze Age cultures that built pyramids and sphinxes.
Why is it, that science is so terrified of dealing with this subject? It may not be science that shakes its pants either, but the ideological and financial backers of science. They created Darwinism as a control apparatus for human thinking in the age of Industrialism and classical Imperialism, so the idea of a prior high civilization would destroy the foundation of the brainwashing. Just as their scientists have never explained gravity, nor have they ever found the missing link between apes and humans. The Jesuit and neo-Gnostic Theilard de Chardin tried to gossip about the Piltdown Man, but it turned out to be a scam. Is there anything the Jesuits have not had their dirty fingers in?
The gaps in science
Black Holes in Russell’s sense is something other than an the academic concept. These are creative fields of tension in the overlapping gas rings where creation takes place. It’s the galactic Vessica Pisces, the intersection of two 3D circles. It’s the Creator’s large holographic 3D printer. The thing is, creation did not take place then but takes place all the time. It is typical for Catholics to introduce their linear timeline, the Kronos trick, from Genesis to Armageddon. Darwinian evolutionary thinking and Einsteinian mythology + the Big Bang theory are, in a way, equally Catholic-metaphysical.
But the atom then, it exists, we all know that! Does it? In both atomic physics and chemistry, electric charges are constantly operated on, so the leap to a nuclear model that is not particle-based but electrically based should not be completely impossible.
If one studies the history of how the atomic nucleus was invented, then it happened on a very shaky basis with incorrect observations + incorrect interpretations of these (Rutherford-Bohr). But the theory stuck as an adopted fact. Robert Otey explains that he was amazed that his chemistry professors in the 70s, after teaching the atomic nucleus theory for 3 months, admitted that it was a scam, a forgery, but that they had been forced to teach it according to their curriculum. Interesting! So there was a small pocket in time where it was well known that it was fraud, and that pocket closed just a decade later, where everyone more or less considered it an accepted fact, beyond theory. Younger chemists and physicists no longer question the premise, because they have been taught it according to their professors’ curriculum, which must therefore assume that it is not just models and theories but proven facts.
It shows the mechanism that has formed the great monolithic and hard-to-break dogmas in science. To use a Catholic term, a canonization takes place – canon = law – whereby science violates its own sacred rules of the game, its own ethics. This is how science becomes a hybrid between religion and law, and that is why giant monsters from Jurasic Park can wade around and eat everything that moves in the landscape, for they have been allowed to do so. To criticize them is, in turn, outlawed. Like voracious Tyranosaurus Rex, these monsters trample around in the scientific swamp and scare the life out of their prey. There is predator capitalism, and there is predator science.
Since we take it up front with dinosaurs and gravity: take it easy. Should a stack of perverted geneticists succeed in recreating the DNA on this one, it will collapse under its own weight before it could eat you. All serious calculations of weight and muscle power made by physicists, anatomists and engineers have determined that the T-Rex could not stand on its own two feet – unless the Earth at that time had a much less attractive force than today. Which is another scientific myth: the constant size of the Earth.
So Otey’s professors said: take it as a model, a theory, make your calculations, get the course over, deal with it – basically: move on, have a life, and apologize that we have had to fill you with junk science. Of course, they did not put it that clearly, because then they had been fired. They suggested it to the sharp student.
Atomic theory is that the atom is held together from within by a nucleus that affects certain particles in a mysterious and inexplicable way. Protons, neutrons and electrons are small particles that fart around in their high-speed mini-solar systems and do all sorts of dog tricks. Electrons are, in theory, oppositely charged particles. These electrons are supposed to operate in a layer of outer layers, a shell around the nucleus. By adding one extra electron, the nuclear fisherman gets a new element in the series of elements in the periodic table.
Walter Russell says in his two books The Secret of Light and Atomic Suicide that such particles do not exist and that gravity does not work that way. Nature does not have such a kind of glue that holds particle pieces together. Nature is cell-based. The cell is a life form, the atom is a machine, and physicists have been in love with machines since the breakthrough of industrialism. The strong and weak power of nuclear physics was invented ad hoc because speculative, metaphysical science needed to repair the serious contradictions it had created through atomic theory. The atom should explode in the air in a split second, but there must be forces that still hold it together. These forces were therefore invented because they were desperately needed. The didn’t see, find or prove them, they invented them to fill in the blanks. Similarly, dark matter and dark energy were later invented by quantum physics, for there was a desperate need to put labels on the 99.9% percent of the Universe that had oops-disappeared in the theorists’ theories.
Russell has a terminological weakness. He uses the same words as mainstream academia, but they have a different meaning. It has confused many. He should have created a new terminology. The concept of atoms should be replaced with the concept of elements.
The Zionists in Hollywood are playing along with their cartoon version of particle physics. In Dan Brown’s Illuminati flirtation, an annoying little demonic god particle who intends to destroy the Vatican has escaped. More fun stuff in V-Town.
One of the particle physics stunts is called antimatter. God does not live in a particle, but physicists are still trying to reduce creation to a particle, the particle of God. Russell defines substance as movement and antimatter as silence. Russell is far closer to Kepler than to Newton, for Kepler spoke of motion relative to area. God is the Quiet Magnetic Light, the Kingdom of Heaven. But physicists are now looking for anti-protons, anti-neutrons and anti-electrons, which should then form an anti-atom and anti-matter. It turns into an anti-absurd anti-circus. They are constantly looking for ways to escape the Universe and Nature. Academic gorilla tape.
The empty space does not exist. In the emptiness hides a cosmic cathode-anode complex, silence-motion, Yin-Yang, implosion-explosion, di-polarity.
The cosmic cathode is God’s silent zero-point state, the 99.9% that science denies – while trying to unravel its omissions in the back room. The over-booking of dimensions of the speculative string theory is an absurd deception. The cosmic cathode operates in the non-dimensional field, while the cosmic anode operates in the dimensional field with its well-described three dimensions. All movement comes from non-movement, from silence. This is the true dualism between the cosmic mind and the cosmic matter. It is this fine balance that the Darwinists (or whatever we shall now call them) have perverted into an executioner-victim- or ruler-slave complex. And before them the Gnostics and Catholics as the pure-unclean, where everything earthly was unclean and therefore the work of the Devil and should therefore be forsaken and despised. The Church Father Augustine believed that the woman was an unclean creature, as her instincts were attached to reproduction.
Good and Evil certainly exist (we just need to open our eyes, see: A Study of Evil), but it exists in the intentional universe, the human. That the cathode is good and the anode is evil is therefore a projection waffle, where people view the Universe as they themselves act and think – as below, so above. It is Abrahamic BS, the sabbatical narrative of Godfather with a long beard, who orders the enemies of his chosen people slaughtered as sheep in the form of a sacrifice to the Dying God. Evil entered the world when a well-known tribal people in the Middle East introduced Yahweh, the bipolar god with the two faces, the Janus face, the demiurge, the usurper of the throne, the Destroyer disguised as the Creator.
See Farrell og de Hart: Jahwey The Two Faced God.
There is a gorge of un-similarity between the tyrannical, angry-pissed-off, punitive, anthropomorphic, usurper pseudo-god of the Abrahamic religions to the Creator, the Silent Magnetic Light of the Universe. The long-bearded father god was thus to be male. Feminism is not in high demand here. But in a cosmological context, it is extremely worrying that the feminine – not feminist! element of the Universe is doomed out. It lies in the language. The Germanic language is – as usual, but unfortunately not recognized – English superior. Man in English is male and must cover the human being. Mensch in Germanic is both male and female.
Russell says:
God is light. God is love. God is [inexorable] law. God is So much, so good. However, one of the reasons why Russell is not included in the scientific society, such as Tesla, Steiner, Velikovski, Levashov, Hannes Alfvén, is due to the cult that Russell and his wife created around him and his wife. The NewAgers love them for the same reason. Russell claimed to be a reincarnation of da Vinci and Lao a ditto of Lao Tsu. Then you may have had it coming. Another component is their total denial that there is evil in the world, for God is only love. It’s water on the mill for the whole NewAge pseudo-philosophy of positive thinking, the law of attraction, aso. And in addition, civil-cowardly, as it almost condemns that we hold the exponents of evil to account. Think positive and ignore the filth that happens in front of you, because it goes away by itself …!
Russell’s other main mistake, as mentioned, is that he uses mainstream terminology to describe something completely different. It creates a lot of confusion.
Wallace Thornhill is the most prominent exponent of the Electrical Universe in the tradition after Hannes Alfvén introduced it. The electrical engineer Alfvén received a Nobel Prize for it, after which he was excluded from the good company. The world was not ready for that, for the good company was in exaltation over the Big Bang, their new creation myth. It is reported when he appeared at the Scientific Congresses of the Astronomical Society that people whispered in the hooks: Behold, there comes the guy who received the Nobel Prize, and with whom we must not speak. They simply felt a pain in the ass for the fact that the Nobel Prize, for once, went to real science, because he was not one of the mathematicians who had overthrown astrophysics, but a practical man, an electro engineer. In his work for the Swedish government, he observed that plasma phenomena arose in connection with high-voltage installations. The Norwegian scientist Kristian Birkeland had previously observed the aurora / northern lights and then recreated it scaled down in a laboratory. So these are real physicists, not theoretical physicists. Alfvén then created a universal model for the Universe, which today has become the Electrical Universe. An absolutely not finished and clarified project, but one that has come well from the start – except that the mainstream refuses to study it.
Not that there is no plasma physics that is taken seriously, because it does. But it lives in a kind of reserve that is allowed to contribute as long as its developers do not ask serious questions about the adopted premises but simply contribute by consensus with their curiosities
Otey – from housewives and hillbillies one must hear the truth.
Revival of the serious laymen.
Thornhill does not go as far as Otey as to abolishing atomic theory. He reformulates it, corrects it and introduces electricity, not gravity as the driving force. That was what the mathematician Maxwell had suggested. It therefore gives positive and negative charges for what we have called gravity. It causes a deformation of the atom. But it is compatible with Paris Spaulter’s interpretation of area and acceleration, for Thornhill places gravity / compression in the surface and not in the core of a planet. The positive charge is inside the surface, the negative is outside. It will also be able to explain the abnormalities of gravity measured in very high towers and very deep mine shafts. Gravity is not universal like Big G either, because we tend to assume that it is the same everywhere on Earth.
The Electrical Universe solves problems in long paths. In the Newtonian model, bodies must almost ‘know’ something about each other in order to follow the law of gravity. Arrest nature, that scoundrel, it does not follow the law! But in an electrical universe, that’s exactly what’s going on. All planets, like electrical systems, can sense the others in the system at any time. It’s plugged into the solar light chain, and interplanetary communication – if we may be so cheeky as to use a word reserved for the exchange of information between intelligent beings – takes place without delay. Which in turn means that the speed of light is not the highest at all. Incidentally, it is already far exceeded if, as a particle physicist, one calculates the speed of the electrons’ spin around the proton.
Light is not particles, that travel through the Universe. Light does not have a speed. It is a resonance phenomenon that has a delay.
But then the Flat Earth theory arrived, and then we may well forget it all again… Maybe the flat-earths should start studying The Electrical Universe so that they do not completely opt out of even alternative circles where they can be taken seriously. They may be able to ‘save’ their theory by finding out that the anomalies they claim to have observed are electrical phenomena. But they have to mess with it themselves. My personal theory about that theory is that it is an implant that should make us think in other directions what the Secret Space Program and the new Space Based World Economy have been working on. Oh, and we know, who put the meme out there: Cass Sunstein, Obamas so called ‘information czar’.
There are undoubtedly civilizations in space with capabilities and technologies that would enable them to transport themselves to Earth. That is not the case. The thing is, most of the observations people have made on UFOs are without a doubt military programs. These have taken place since before World War II and in particular during and after. It is Tesla tech that scientists in Germany were working on and that they had gotten from their Serbo-Croatian friends who had gotten it again when the Americans wanted to force Tesla to work on a weapons program for the government. He denied this and gave his blueprints to his brother-in-law, who was a Croatian ambassador. Some of it went to Germany, others went to Russia via Serbia. After the war it went to Antarctica and to Argentina. Some of it returned to the United States after importing German scientists into NASA.
The Germans, or as Douglas Dietrich says, the Third Reich in exile, flew around in their turtles (Schildkröten) and made life miserable for the Americans all the way up to the 50s. This is also confirmed by William Lyne. What happened to them then, we can guess. Americans today have all sorts of programs running, and how much more convenient can it be that the CIA has started and maintained the meme that is cultivated as the NewAge religion in various UFO communities. One of the imported Nazis, Werner von Braun, pre-described that the next big scam, that next enemy image, the successor to ISIS, that replaced communism, that replaced Nazism, that replaced… the Turks and the Mongols (it was so good enough), to scare the living Jesus out of the peoples of the earth will be a fake alien invasion. Al Qaeda In Space! 1-2-3 shit your pants.
One of the scientists who provided technology to the Germans was the Austrian Victor Schauberger. As a forester, he studied water all his life. As Wallace Thornhill says: The true philosophers of nature are superior to mathematicians because they have not abstracted themselves from reality. Science lost the chain and ran off the track 100 years ago (Einstein) and has not since picked it up again. But Schauberger was always based on nature, because he was always in it.
Spirals, organic shapes, water and long beards
He saw how the water itself and the fish in the water almost defied gravity. The salmon created a kind of torsion field around it via the gill, which enabled it to swim effortlessly against strong currents. In return, it found quiet pockets in rushing rivers where it could rest. Schauberger studied the helical movements of the water’s movements and developed models where one could help the rivers – and the people by the rivers – so that the water did not run over its banks. Today, such projects are being established in Austria, where water is restoring a healthy flow. A number of large stones are placed in carefully selected places in a river. This moves the otherwise destructive force from the water to the middle of the river so that it does not strain the sides. It also means that the riverbed is reorganizing so that the quiet pockets mentioned are restored and fishing life thrives.
The major floods that occur are due to deforestation. On a mountain top or sides that either lacks trees or where the trees are a planted in monoculture, the water only gets what Schauberger calls a half cycle. The healthy forest soil is a thick layer of humus that can absorb huge amounts of water and store it deeply before being shut out again. Schauberger calls it a whole cycle. Paradoxically, in his younger days, he himself contributed to the deforestation, for he used his unique inventing abilities to develop some special chutes where large tree trunks could be transported down using minimal consumption of cold water.
He developed a plow that did not turn the earth and destroyed the natural stratification and its life, but instead made a double turn and put it in place as it had been plowed up. He studied the healing power of water and developed facilities for the revitalization of water using minerals and vortex movements. He developed water pipes that were not straight but double helical, where the water ran through almost without resistance, as it is the natural movements of the water. And this is where his transcendence of gravity came into the picture. He constructed a strange machine in which he used the ability of water to go against its own current. The electrical forces of the water and its vortex-helical capabilities were built into a device that spun at high speed, 2-3000 rpm. Inside the pot or kettle-like apparatus there were slats that resembled gills or chambers in a snail shell. He is said to have smashed the roof of a house when it was running. There is only one copy of it today and it works, though without lightening. This is because two components are missing at the top, which Schauberger himself described as necessary for the process.
Whether it was precisely this technology that was in the German turtles or Haunebu’s – they had several names and there were several types – is difficult to know. William Lyne guesses that the Germans also rebuilt submarine hulls to be able to fly, because flying cigars were observed in the air. It sounds a bit clumsy, but once you have that kind of technology, weight is no longer an issue. Remember that the force called gravity is unbelievably weak in relation to electricity and the electrical state called magnetism or electromagnetism. We are talking about 1: 1038. In recent times, flying machines the size of football pitches have been observed. And that they exist is unquestionable, because there are lots of ordinary people who do not hang out on scary UFO sites who have seen them. And no, we do not have to import them all the way from the Pleiades or Sirius when they are made in the basements of the Nevada desert or in the Boing factories’ Research & Development labs.
So there are several forms of decay in physics and in science. One of the most serious is the contribution of science to the programs that run behind the backs of humanity and which are certainly not to our advantage. They are only for the benefit of a number of the worst individuals inhabiting this planet. In return, their destructive experiments are paid for by the money they have stolen from humans through their taxes, looting and financial scams. It is the global usurers Demonic Star Wars that is rolling out.
The Global Deep State has thus already lifted gravity. I would dare to guess that they no longer use the term when talking to each other. Their really is quite and completely different from other people’s.
Just let the village fools, cardboard heads and little ignorant, naive poor people who inhabit this planet believe that something is working, as we have told them. We invented gravity in the Royal Society of Science as early as the 17th century, and they have not since recovered from it. Later, we gave them Einstein and the entire Jewish physics scam. They ate up and they demanded another serving! They loved it! Then we gave them the gnome Hawking (You would not criticize a cripple in a wheelchair, would you?). They love stardom and entertainment, and so we gave that clown Michiu Kaku so he could give them some kaka in Illustrated Science. And Robert Dawkins, so they don’t get too creative. And if they absolutely want to spice things up with creativity, then the Satanists get some UFO accommodation, some flat-earthers, and some festive fireworks in the sky. Admit it: 9/11 was simply a work of art! And they loved it! But they understood nothing of it.
– an imaginary quote from a toast somewhere in a bunker complex in the Nevada Desert.
One of the guys, that in my opinion today is able to explain the physics behind UFO-technology and physics as such is the smartest man on Earth, Kevin Wheeler. He vlogs under the synonym Theoria Apophasis:
A couple of years ago I stumbled upon Kevin Orlowski and the Magnetic Energy project, that seems really promissing. Very discrete but with a huge R&D behind going decades back including the work of Kevin Orlowskis father.
I admit
I swing back and forth between a strong and the less strong theory of whether the whole thing is a deliberate scam. I am not for a second in doubt that there has always been fraud involved, but the question is to what extent fraud and malice should be weighed against stupidity and mistakes. Although The Powers That Be in the 400 years we have outlined, that is, since Kepler’s 3rd law was neglected, has never held back with fraud, falsification of history and manipulation, one could theorize – and this is true conspiracy theory – whether they not only have observed mistakes and stupidities and said: Aha, what can we use it for?
It’s called cybernetics. It is a dynamic control system intended to control supertankers and ocean-liners, ie slow-reacting large, complex systems / vessels. It dates from a time when there were no computer systems that could do the same. A single variable that moves forward in the water redefines the entire control and aligns all other variables. The goal may be the same, but the course, speed, and engine power can be adjusted. In cybernetics, even the goal can be adjusted.
This is how The Powers That Be operate. They have so far been able to adjust both goals and means and apparently keep a course through the centuries without the passengers on the ship having been anything but glimpsed aware of it. The picture is not chosen at random, because The Powers operates as you may know according to Maritime Law. They sail constantly and variably under flags of convenience in international waters.
Are scientists then stupid or corrupt? Well, most people are both intelligent and convinced that they are earning a good cause. In their own optics, the answer is no. Of course, there are those who know that they are contributing to something that is unethical. There are also those who, despite a nagging doubt in the back of their minds, ignore this and install a set of blinders. And then there are the scared ones. Both Newton and Einstein have at one time expressed doubts about their own excellence. It could be an argument that they did not fully understand the game they were contributing to and that they were useful idiots to the cybernetics of their day and age.
But it’s not that simple. Do not underestimate the blind spots. A genius with blinders still wears blinders. Once intellectuals think they know something, they can be fully convinced of their own excellence and infallibility, and the consequences of highly gifted stupidity performed by people with influence are many times as destructive as yours and my sub-meter-stupidities, which at most can’t make a cat mischief.
The 10 Commandments for Scientific Fraud
The answer may seem obvious to you, but for most people, that kind of thing is almost unthinkable. Humans have this unfortunate gullibility towards authorities like children towards their parents. We perform a kind of spontaneous regression every time someone appears as an authority, whereby we momentarily relive ourselves as 7 years old and react as such. A child does not dream that its parents do not want its best, and its tolerance for unreasonableness is almost infinite. Even children who have been abused have a loyalty to their parents that is both tear breaking and frightening at the same time. It is the mechanism that the abusers of our belief in authority and loyalty exploit. But that still does not answer why.
A first answer:
on Why did you do that? would simply be:
Because we could. Your back door was wide open, you slept in the classroom, you asked for it yourself. Just as it is the nature of a scorpion to sting with its poisonous bread, it is our nature to deceive. We do not think we are psychopaths.
Another answer would be:
Your ignorance combined with our knowledge is our power and your powerlessness. It was an inscription with gold-painted letters that was carved into the gate of the cathedral school, where I spend my high school days at the age of 15-17: Knowledge is power. We – the makers of the inscription – forgot’ to just tell you that it was not your knowledge. Unless you’re invited, of course. And we do not like party-crashing!
A third answer would be:
It simply follows an ancient practice developed by the Empire. As Romans, we occupied and conquered lands and peoples, stole every conceivable knowledge, technology, and culture, after which we either wiped them out or gave them to the Emperor in the name of Christ. We are the legitimate descendants of the Romans, and therefore we have an established right to do the same. It is almost a duty and we are very conscientious. You must actually have a little compassion with us.
A fourth answer would be:
Because you can not handle the truth. We give you the noble lie in our paternal concern for your welfare. We handle the knowledge you do not benefit from. The sheep need their shepherds. We only want your best, even if we have to lie to you – or take your life. And we can see by our behavoral studies on you, that you that you are far happier to believe than to know. We have thrown a curse that now has its own life. It cannot be recalled. It can at most be destroyed, but you are not able to, because you have taken false knowledge as a poison.
A fifth answer – a variation of the fourth – would be:
There are two kinds of knowledge and two kinds of religion. One knowledge / religion is for the people. People want to hear goodnight stories and live a carefree life. The other knowledge is for the inner circle, for the few chosen of God, for us. We want a lot of real knowledge because we like power. We see a kind of communion of interest here. The religions of the past have today become science.
A sixth answer – a strong interpretation of the theory in question – would be:
We have all the knowledge we need. We use it as it can be used. We have always had it in our archives from ancient times, the previous civilization. The day we no longer need this place, we wipe it out.
A seventh answer – an elaboration of the sixth – would be:
We are the technocracy. We refine our knowledge and technology to include all the ways we can control life on earth. This applies to plant, animal and human life as well as the earth’s climate and all the earth’s resources. We consider spontaneous, healthy and balanced life to be uncontrollable. Technoculture is going to replace nature.
An eighth answer would be:
The table catches, when the dice is thrown. After all, our poor scientists have a whole shelf of publications and dissertations and dissertations and articles and books behind them. They have a career, they have a professional reputation, they have a permanent place in academia and a permanent job with money. We have invested in them. They can not turn on a plate in one day, you must understand that. They would lose their face and their pride.
A ninth answer – the Old Testament – would be:
Knowledge is dangerous to man. That man ate of the tree of knowledge was sinful. We must make sure to recall this knowledge by locking it up, destroying it, polluting it, diluting it, turning it upside down, creating knowledge surrogates, leading it astray. But of course we have archived the right knowledge beforehand. We can also use it – against you.
A tenth answer would be:
Knowledge has an inertia. Textbooks and encyclopedias about knowledge have been written. Knowledge is on the shelves. Knowledge flashes on the screens. Knowledge comes out of the speakers
_______________________
It’s a question of temperament and interpretation, which combination of the above answers fits with the situation. One answer I would be wary of is:
How should we have known that?
Let’s get this straight:
You the mighty and knowledgable cheated in antiquity, you cheated in the Renaissance and in the Age of Enlightenment. You cheated in the last-century and in the last, and you have not stopped it yet or at any time in between. So stop playing stupid and innocent. And if you have the courage to admit your mistakes, we see no reason why you are not already in the process of making amends. However, there is no sign of that.
Repentance and self-knowledge are foreign to psychopaths and swindlers. We must regret that so many honorable scientists have been compromised. And science also operates in sheepfolds. One branch of science is cut off from another that loses the connection to the third who no longer has a common interest with the fourth… Science has become fragmented. It can be useful as a stage to disassemble the pieces to take a closer look at them. But then they have to be reassembled in fine and improved condition, and that just never happened. It is the scientific Babylonian conceptual confusion caused by materialism, reductionism, and over-specialization.
The result has been a cross-collegial disrespect on the one hand, and on the other a fundamental lack of curiosity and understanding of what the others are doing. Even scientists working in the same main field have to translate for each other what they mean when they express themselves. Science has taken an advance on the global village, where everyone speaks their own post-Babylonian volapyk dialect, which sounds similar but does not mean the same thing. This fragmented world of knowledge is virtually impossible to convey.
There is a principle of sound knowledge: it must be simple. It may be empirical and interim calculations are complex, but if the result can not be presented simply, then something is wrong. That was exactly what we have seen with today’s case study, gravity. The obscure thought is the obscure talk.
And then we are back to the housewife who grounded Newton and Einstein by simply taking the necessary time and effort to do what the high gentlemen should have done themselves: read inside, do their homework, take as a starting point observations and data and remain true to the ethics that science claims to uphold.






















